鹿児島現代物理勉強会
鹿児島現代物理勉強会
トップ
活動紹介
活動記録
物理理論解説
参考図書
会員の個人ページ
会員募集(連絡先)
物理理論解説
中間子理論
ラザフォード散乱
不確定性原理
回転座標系
解析力学
剛体力学
惑星の運動
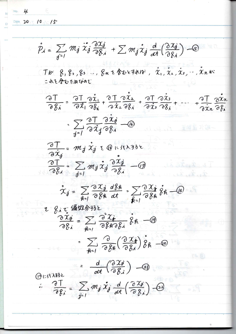
解析力学
もどる